Integral Parsial Rumus Cepat

Integral Parsial Rumus Cepat. Rumus integral parsial dipakai dalam soal integral yang sangat kompleks. Rumus integral parsial juga digunakan untuk suatu soal integral yang sangat kompleks.

Rumus Cepat Integral Parsial Youtube
Rumus Cepat Integral Parsial Youtube from i.ytimg.com
→ digunakan jika bagian u bisa diturunkan hingga 0. Untuk integrand dengan bentuk seperti berikut, gunakan substitusi trigonometri. → fungsi aljabar yang dikalikan dengan fungsi trigonometri dimana variabel dalam fungsi trigonometri berpangkat 1 (u = fungsi aljabar).

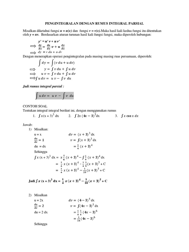
Dengan menulis kembali persamaan di atas, diperoleh.

Belajar integral parsial dengan video dan kuis interaktif. Di sini, kamu akan belajar tentang integral parsial melalui video yang dibawakan oleh bapak anton wardaya. Rumus integral parsial digunakan kali ini kita akan mempelajari tentang materi integral parsial mulai dari pengertian, rumus, hingga contoh soal lengkap dengan jawaban pembahasannya. Untuk integrand dengan bentuk seperti berikut, gunakan substitusi trigonometri.


Comments

Popular posts from this blog

Sejarah Logika Matematika Pdf

Alat Peraga Barisan Dan Deret Aritmatika

Pernyataan Majemuk Dalam Logika Matematika