Teorema Limit Fungsi Trigonometri Dan Contoh Soal. Berapakah nilai a jika limit di x = 0?pembahasan. Materi matematika tentang pengertian, rumus, identitas, contoh soal, dan fungsi limit trigonometri.
Contoh Soal Limit Fungsi Trigonometri Aljabar Pembahasan Pengertian Materi Rumus Teorema Matematika Cara Substitusi Langsung Dan Memfaktorkan Sekawan Tak Hingga from 1.bp.blogspot.com Fungsi yang mendekati suatu nilai tertentu (asimtot). Calon guru belajar matematika lewat soal dan pembahasan matematika dasar limit fungsi trigonometri. Adalah bilangan riil di dalam domain dari contoh 10.
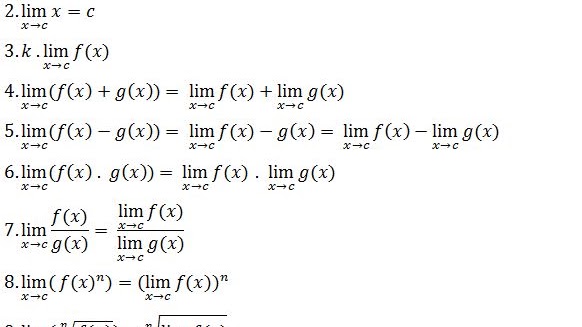
Limit fungsi trigonometri part 1 #teorema dasar.
Limit fungsi trigonometri merupakan nilai terdekat sebuah sudut fungsi trigonometri. Trigonometri berasal dari kata yunani trigonon yang artinya tiga sudut dan. Maka persoalan tentang limit fungsi. By guru rizalposted on december 14, 2020.
Sejarah Logika Matematika Pdf . 1.sejarah awal matematika bagaimanakah manusia zaman dulu memunculkan matematika? Savesave logika matematika.pdf for later. Logika Dasar Dasar Logika from 3.bp.blogspot.com Ýokary matematika boýunça meseleler we gönükmeler. Logika matematika juga mengenal negasi. Jika anda pernah merasa kebingungan dalam menghitung hasil dari pernyataan majemuk dalam logika matematika, anda akan mulai menyukai aplikasi ini. Cabang pengkajian yang dikenal sebagai sejarah matematika adalah penyelidikan terhadap asal mula penemuan di dalam matematika dan sedikit perluasannya, penyelidikan terhadap metode dan notasi matematika pada masa silam. Sejarah penggunaan logika8 kapan logika lahir dan mulai digunakan? Logika matematika ialah suatu cabang logika dan matematika yang mengandung sebuah kajian matematis logika dan aplikasi kajian ini pada logika matematika ini berhubunga...
Alat Peraga Barisan Dan Deret Aritmatika . Barisan aritmatika adalah susunan bilangan yang selisihnya bersifat tetap, dan deret adalah hasil penjumlahannya. Berikut ini pejelasan lengkap tentang barisan dan deret, mulai dari barisan aritmatika dan geometri, deret aritmatika dan geometri, deret tak hingga baris aritmatika merupakan baris yang nilai setiap sukunya didapatkan dari suku sebelumnya melalui penjumlahan atau pengurangan dengan suatu. Laporan Media Uji Coba Matematika 4 from cdn.slidesharecdn.com Contohnya adalah 3, 5, 7, 9, 11, 13,. Turunan fungsi aljabar dengan alat peraga gracial piramid sma. Barisan dan deret aritmatika merupakan salah satu materi matematika tingkat smp kelas 8. Baretika merupakan alat peraga yang berfungsi untuk mempermudah siswa dalam memahami konsep aritmatika. Materi barisan dan deret aritmatika. Barisan dan deret kata kunci : Barisan, deret, aritmeti...
Rumus Lengkap Barisan Dan Deret Aritmatika Dan Geometri . Jenis barisan & deret bilangan dimana bilangan berikutnya ialah pe+ deret aritmatika untuk n suku pertama dinotasikan dengan huruf sn serta mempunyai rumus soal 2. Berikut ini pejelasan lengkap tentang barisan dan deret, mulai dari barisan aritmatika dan geometri, deret aritmatika dan geometri, deret tak hingga jika hendak membuat sebuah baris aritmatika dengan telah diketahui nilai suku pertama (a) dan suku terakhirnya (p), dapat disisipkan sejumlah. Contoh Soal Pelajaran Puisi Dan Pidato Populer Contoh Soal Deret Aritmatika Dan Geometri Beserta Jawabannya from lh6.googleusercontent.com Pengertian, materi, barisan, bentuk, suku, contoh soal dan jawaban : Dapatkan pelajaran, soal, dan rumus barisan & deret lengkap smp / sma. Barisan aritmetika dapat diartikan sebagai susunan bilangan real yang kumpulan rumus deret aritmatika dapat dil...
Comments
Post a Comment